Cómo es la gasolina de un Formula 1
Los coches de Formula 1 en la actualidad usan como combustible Gasolina. Esta lleva practicamente los mismos componentes que la gasolina que le echamos a nuestros coches de calle. La diferencia se encuentra en la proporción de los mismos.

Como vemos en la imagen una gasolina es una mezcla de diferentes hidrocarburos. En ella también podemos apreciar una comparativa aproximada entre la gasolina de nuestro coche de calle y la de un Formula 1. La gasolina está formada por hidrocarburos parafínicos de aspecto ceroso e inoloro, aromáticos que desprenden olor como el benceno y el tolueno, naftalénicos con propiedades lubricantes, etc…
Además se le añaden aditivos orientados a mejorar las propiedades de la mezcla para evitar corrosión de las partes metálicas del motor que quedan expuestas a la misma, para mejorar el índice de octano, para mejorar el consumo, etc.
El índice de octano de una gasolina es el poder antidetonante de la misma. En los motores de combustión interna, como los de nuestros coches de calle o como el de un Formula 1, se puede producir un fenómeno conocido como detonación que hace que la mezcla aire combustible se autoinflame espontanéamente antes de que sea alcanzada por el frente de llama que avanza por la cámara de combustión una vez que ha saltado la chispa en la bujía, provocando entonces choques de los varios frentes de llama, que hacen perder rendimiento al motor e incluso podrían llegar a dañarlo. Por tanto un índice de octano alto hace que la posibilidad de que se presente este fenómeno disminuya.
La composición de la gasolina de Formula 1 está regulada por la FIA, que establece los límites admitidos para cada componente. Y esta se analiza en cada Gran Premio.
La gasolina se introduce en los monoplazas por medio de unas bombas que proporcionan un caudal de aproximamente 11-12 litros por segundo. La densidad de la gasolina de Formula 1 por reglamentación debe estar entre 0,720 Kg/litro y 0,775 Kg/litro. Con lo que en una parada de 10 segundos cargan unos 115 litros, que serían unos 85 Kg de combustible.
El consumo viene a ser unos 240 litros de fuel cada 300 Km. lo que son unos 180 Kg. de gasolina.
Por último comentar que el deposito de gasolina de un Formula 1 es un deposito de materiales flexibles y altamente resistentes para posibilitar su tolerancia a deformación en caso de accidente evitando que explosione, disminuyendo así los riesgos para el piloto.
¿Qué es el KERS? ¿Se lo pondrías a tu bicicleta?
Iniciamos la sección de ingeniería con este interesante artilugio, famoso porque va a formar parte de la competición de Formula 1 esta temporada.
Su nombre en inglés es Kinetic Energy Recovery System, traducido es un sistema de recuperación de energía cinética. Hay bastante confusión y podemos ver por la mayoría de los medios que se dice que es un sistema para aprovechar el calor de las frenadas. No es correcta esta definición.
Existen 3 tipos de KERS: el mecánico, el eléctrico y el hidráulico.
KERS Mecánico:
Es un sistema que básicamente consiste en un disco pesado (volante de inercia) unido mediante diferentes ruedas dentadas al “eje de giro de las ruedas” (palier). El KERS ayuda tanto a frenar, como a acelerar. Cuando un vehículo que lo lleva instalado frena, entra en funcionamiento, y lo que hace es unir mediante las ruedas dentadas el movimiento del “eje de giro de las ruedas” al disco pesado. Con lo que este ayuda al frenado al costarle más al palier girar, ya que ahora tiene que arrastrar también al disco pesado del KERS. Se pone a girar a altas vueltas ya que las ruedas dentadas que lo unen al palier son multiplicadoras del giro, acumulando así parte de la energía cinética que llevaba el vehículo. Posteriormente, podemos conectar, accionando un botón o un embrague, ese giro que lleva acumulado el volante de inercia del KERS a nuestro palier cuando estemos acelerando, sumando así su movimiento al del palier lo que proporcionará unos segundos de aceleración extra al vehículo. En los Formula 1 se obtienen unos 80 CV extra durante unos 7 segundos.
KERS Eléctrico:
En este caso cuando se frena el giro del palier se enlaza con un alternador que al ser arrastrado en la frenada produce una energía eléctrica que es almacenada en una batería de alta potencia. Ahora el que ayuda a frenar es ese alternador. Posteriormente esa energía de la batería puede suministrarse a un motor eléctrico que suma su acción al giro del palier cuando se accione el botón correspondiente. Obteniendo de nuevo los famosos segundos extra de aceleración.
KERS Hidráulico:
En este caso al frenar el giro del palier se enlaza con un dispositivo hidráulico que es el que va almacenando la energía. La ayuda al frenado la lleva a cabo mediante el dispositivo hidráulico. Posteriormente esa energía puede sumarse al giro del palier cuando se accione el botón correspondiente descargando sobre el mismo la energía acumulada en el dispositivo hidráulico. Obteniendo de nuevo los famosos segundos extra de aceleración. Este tipo es muy pesado y ha sido descartado por la Formula 1.
Como puede verse el KERS no aprovecha el calor de las frenadas, lo que hace es aprovechar la energía cinética del vehículo, la cual de no estar el KERS se perdería en forma de calor en los frenos, que es una cosa bien distinta.
Cuando el dispositivo esté disponible para bicis, yo se lo pondré a la mía…
Os dejo unos videos ilustrativos:
Tunel de viento, aerodinámica y Formula 1
Dedicaré este post a hablar del tunel de viento y de la utilidad del mismo en la Formula 1. Creo que lo primero es que veamos en que consiste:





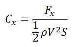
A partir de los ensayos realizados en el tunel de viento se tienen valores de la Fuerza de Arrastre para una determinada densidad del aire y para una determinada velocidad de este, pudiendo entonces calcular de forma experimental, sustituyendo en la fórmula, el Coeficiente Aerodinámico de Arrastre que podemos suponer constante para cualquier velocidad y/o densidad en los intervalos en los que se mueve un Formula 1. El producto Cx·S se utiliza para comparar diferentes configuraciones del vehículo o diferentes vehículos. Cuando en un gran premio reglan los alerones, el morro, etc, lo que están haciendo es variar este coeficiente y con ello claro está la fuerza aerodinámica de arrastre. El Cx de un Formula 1 suele ser el doble de un coche de calle, siendo un poco más alto en aquellos grandes premios donde no es demasiado importante la velocidad punta y es más importante el agarre. Estando su valor entre 0,7 (Monza) y 1,1 (Mónaco) aproximadamente.
¿Cómo funciona el difusor de Brawn GP?
¡Cómo está el tema con los difusores en la Formula 1! Vamos a intentar desvelar que hay detrás de la “magia” del polémico difusor de Brawn GP. Veamos primero la pieza en cuestión para posteriormente pasar a verla en funcionamiento en conjunto con el resto del monoplaza.

Ahí lo tenemos. Se trata de una pieza que va colocada en altura un poco por debajo del eje de giro de las ruedas traseras y un poco por detrás de este. La parte de delante del mismo, que no se aprecia en la foto, lleva una especie de rampa inclinada a ambos lados de atrás a delante y hacia abajo, y en el centro una especie de V con una inclinación más suave.
Según apuntan por numerosos sitios lo que parece aportar este difusor es un mayor efecto suelo en el coche. Y alguien pensará… ¿Qué es eso del efecto suelo?, Pues muy sencillo es un efecto que se produce por diferencia de presiones en los lados de un cuerpo cuando se acerca al suelo. En la Formula 1 normalmente está motivado por un efecto que descubrió un tal Venturi (efecto Venturi) que consiste en que cuando un fluido es canalizado y se produce en el canal por donde pasa un estrechamiento, el fluido pasa a mayor velocidad por ese estrechamiento disminuyendo en el mismo la presión. Produciendose una especie de succión.
Existe otro efecto suelo utilizado en aeronáutica, pero que es distinto a este. Y por el momento no nos interesa demasiado. Para no desviarnos del tema que nos ocupa.
Dado que siempre vale más una imagen que mil palabras os dejo por aquí una ilustración del curioso efecto venturi:

Bueno, pues veámos que es lo que pasa en un monoplaza de Formula 1. Advertir que el efecto suelo en un Formula 1 es muy peligroso, ya que si alguien diseña un coche basando su estabilidad y su tracción solamente en ese efecto de succión aerodinámica, podría pasar que si el coche coge un bache y pierde esa succión que lo mantiene pegado al suelo, ya nada le retendría en el mismo y podría salir volando con el consecuente riesgo para pilotos y espectadores. Con lo cual, se trata de que el coche traccione en base a fuerzas de gravedad y downforce aerodinámica, evitando lo máximo posible el efecto suelo.
En la mayoría de los medios se está oyendo que el difusor de Brawn GP produce un gran efecto suelo. En mi humilde opinión no creo que produzca mucho más efecto suelo que los demás. La clave del “mágico” difusor está en su comportamiento con el conjunto aerodinámico del coche. Fijémonos en la siguiente imagen:

Las líneas amarillas representan el flujo de aire por debajo del coche. Como se ve hay un estrechamiento y luego una expansión, con lo cual algo de efecto suelo existe, logicamente, pero creo que no más que en otros monoplazas. Ahora bien hay algo muy diferente que es el flujo de aire superior representado por las líneas verdes. Este es dirigido a la parte de arriba del difusor. Al contar este con una especie de rampa en su parte delantera provoca cierta resistencia aerodinámica y cierta “downforce” al mismo tiempo. Vamos que es una especie de aleron abajo. Además al estar acampanado terminado en una V canaliza el aire hacia el vertice de la V posibilitando que el centro de presiones (cdp) no se desplace demasiado lateralmente en curvas y consiguiendo así una gran estabilidad del vehículo (veáse el artículo sobre tunel del viento para más información de cdp). Además al producir este difusor ya bastante downforce por el flujo de aire que le llega por arriba se puede bajar bastante el angulo del ala superior consiguiendo así una menor resistencia al avance del monoplaza y por lo tanto una mayor velocidad. De ahí el segundo de ventaja con el que cuentan.

Como puede verse todo el diseño aerodinámico del coche trabaja en conjunto. Veámos en la imagen de arriba como las carcasas de los huecos de ventilación están perfiladas para que el flujo de aire llegue hasta la parte de arriba del difusor. Tiene un diseño aerodinámico que hace que las diferentes partes del coche trabajen en conjunto. De ahí que no será tan fácil copiarlo, ya que los equipos tendrán que cambiar chasis y disposición de componentes dentro del mismo para poder hacer algo parecido.
Fijémonos por ejemplo, en Mclaren. La filosofía tan distinta de diseño aerodinámico que ha construido, que según lo visto en los tiempos por vuelta parece bastante menos eficiente y que para nada ha contemplado dirigir el flujo aerodinámico superior al difusor:

El coche es mucho más cuadrado y desvía el fujo superior hacia atrás pero no hacia abajo, hacia el difusor. Pienso que les costará bastante reajustar todo el diseño del vehículo a la filosofía Brawn GP. Si es que la FIA al final da por bueno definitivamente su diseño.
La gente de Brawn GP ha trabajado muy bien la aerodinámica del coche y esa es toda su “magia”. Ahora están obteniendo los frutos de su trabajo. Creo que no están aumentado el efecto suelo, si no que tienen un diseño aerodinámico mucho más perfeccionado que los demás.
Añadido:
Por último os dejo una vista frontal del difusor más detallada y una imagen esquematica con una hipótesis de como van los flujos en el difusor.


En la imagen se pueden ver los flujos en la vista de perfil y en la vista en planta desde arriba respectivamente.
Según vemos en el esquema parece que en la zona de debajo de la V se genera una depresión ya que no hay aire, al colarse el aire que viene de los bajos del coche por dentro de la V. De hecho los faldones verticales mas largos a ambos lados de la V muy probablemente están indicando que en esa zona hay baja presión y son más largos para que no se succione aire de los laterales. El aire que pasa por encima del difusor pasa a mayor presión y justo debajo tiene una depresión generada por barrido de la especie de canalización que forma la V que a la entrada no es una V es simplemente una especie de tobera rectangular para barrer el aire que llega de los bajos a esa zona. Con lo que debajo de la V no queda aire y se produce bastante “downforce” por la diferencia de presiones.
Espero que haya sido de vuestro interés el artículo…
Formula 1 Malasia 2009: Carrera

EL DILUVIO ACABO CON LA CARRERA…
Tremenda tromba de agua sobre el circuito de Sepang hacia la segunda parte de la carrera.
[RESULTADOS OFICIALES MALASIA 2009]
La carrera se suspendió por la intensa lluvia. Al haberse disputado menos del 75% de la prueba los puntos se dividieron por la mitad.
Los Brawn volvieron a dominar con Button al frente. Barrichello esta vez con un papel menos destacado. Todo apunta a que si la FIA da por buenos los difusores tienen bastante hecho el campeonato.
Se confirma que Renault no tiene un buen coche y que este año parece que tampoco será bueno para ellos. Mclaren vuelve a tener problemas con la FIA, mintiendo descaradamente en las declaraciones de lo acontencido con Trulli en el anterior gran premio. Según parece por obra de las artimañas del Sr. Dennis. Como no podía ser de otra manera…
En fin… Que Debido a la lluvia la carrera ha dado para poco, pero si que ha confirmado algunas cosas…
Formula 1 Malasia 2009: Clasificación
Dejo por aquí link a los resultados de la clasificación:
[RESULTADOS OFICIALES CLASIFICACIÓN]
Alonso pesé a los malos resultados de los Entrenamientos Libres logró meterse en la Q3. Se bajo del coche antes de que finalizará la misma sabiendo que no iba a poder competir con los demás y prefiriendo apostar por la estrategia cargando la gasolina que mejor le venga a esta.
Sorpresa lo de Massa que se quedo en la Q1, saldrá décidmo sexto. Y evidentes problemas Mclaren que ya no ocultan que el coche no va.
Toyota segundo y tercero se confirma tienen un buen coche. Vettel de Red Bull quedó tercero pero debido a la sanción por el accidente con Kubica de Australia bajará 10 posiciones en la salida.
Como reflexión final comentar que Renault no va como se esperaba, por lo menos a una vuelta. Están situados como el año pasado más o menos por las mismas fechas.
Esperemos a la carrera a ver que pasa…
Formula 1 Malasia 2009: Libres Viernes
¡FERRARI DESPIERTA!
[DATOS OFICIALES DE LOS SEGUNDOS LIBRES]
Parece que las aguas van volviendo a su cauce, por lo menos para Ferrari. Se han colocado los dos primeros en estos entrenos: Kimi seguido de Massa. El más cercano perseguidor a 3 decimas. O han tenido una mejoría enorme o es que el coche va en Malasia de miedo. Puede ser quizás más bien esto último, ya que Malasia es un circuito más propicio para el KERS.
En el otro lado podemos situar a Renault, Piquet a 7 decimas de Ferrari y Alonso a 9 decimas con sólo 20 vueltas este último. No sabemos si es que habrá tenido algún tipo de problema en el coche y por eso ha dado tan pocas vueltas. Claramente no es una muy buena noticia esto para la marca francesa, ya que tenían bastante cerca a Ferrari y ven como estos comienzan a alejarse.
Mclaren parece estar ya muy cerca de Renault. Habrá que esperar a mañana la clasificación, pero no deja de ser preocupante para Renault la poca evolución que están consiguiendo, partiendo como partían de una buena posición en pretemporada.
Los Red Bull, Williams, Brawn GP y Toyota agrupados en 3 decimas de diferencia. Detrás de los Ferrari. Están en un suspiro.
Mañana más…
Formula 1 Australia 2009: Clasificación
Bueno pues todas por fin quedaron despejadas las dudas. Se confirma el buen rendimiento de los pequeños del 2008. Primer y segundo puesto para Button y Barrichello de Brawn GP. No eran fuegos de artificio. Han hecho las cosas bien y están muy, pero que muy por encima de los demás. Se lo merecen, hace unos meses estaban sin equipo.
[DATOS OFICIALES CLASIFICACIÓN AUSTRALIA 2009]
Renault sigue en la misma posición que el año pasado por estas fechas… Alonso también quedo 12 en la Q2 en Australia 2008, lo mismo que hoy. Desastre absoluto para ellos en clasificación y en lo que va de fin de semana, ya que en ningún momento han estado en las posiciones de cabeza como se esperaba después de una pretemporada bastante buena. Parece que el circuito de Jérez no es una buena referencia para los coches Renault, ya que siempre suelen marcar buenos tiempos allí, pero luego no se mantienen en otros circuitos.
Los Ferrari septimo (Massa) y noveno (Raikkonen). Kubica con su BMW cuarto sin KERS, Heidfeld en el puesto 11 con KERS. Por lo que parece el KERS no sirve de mucho para clasificar. Ganan por goleada los coches que no lo llevan.
Mclaren 14 y 15 en la Q2, con Hamilton sin poder ni siquiera disputarla porque tuvo un problema en la caja de cambios.
Y por último, y no por ello menos importante, Sebastian Vettel con un Red Bull ha clasificado tercero. Un resultado muy meritorio para él y que confirma la clase de este piloto. Recordemos que llevan motor Renault.
Qué más contar… Que la Formula 1 esta temporada está revolucionada, que nada es lo que era y que nos disponemos a ver el campeonato más original, apasionante e interesante de los últimos tiempos…
Y para cerrar el artículo dejo algunos interrogantes que creo que nos inquietan a todos:
¿Seguiran los equipos con el KERS?
¿Toda la ventaja es del difusor mágico?
¿Cuánto tardaran en reaccionar los grandes?
¿Se dejarán coger los pequeños?
¿Se convertirán los pequeños en grandes?
…
¡Mañana apasionante carrera donde las haya!
¡Ojo a las estrategias con los grandes detrás!
Formula 1 Gran Bretaña 2009: Carrera
DOBLETE DE RED BULL!!!
[RESULTADOS OFICIALES GRAN BRETAÑA 2009]
Red Bull anima el campeonato desbancando a los Brawn en este Gran Premio. Hay que esperar a que se confirme la progresión en la próxima carrera.
No ha habido mucha más historia, algún bonito duelo entre Alonso y Hamilton, pero por el puesto 14 y 15. Después de una muy mala salida de Alonso. Un poco triste, la verdad…


